新疆独特的地理位置孕育了丰富的草地资源。然而,近年来全疆草地退化现象加剧,其中灌丛化是新疆草地的主要退化类型之一。移除灌木是恢复灌丛化草地的主要管理措施,正确理解灌丛化草地的管理成效是实现草地资源可持续利用的重要支撑。在第三次新疆科考伊犁河流域片区“新疆重要草地资源调查与保护利用评估”项目的支持下,北京师范大学丁婧祎老师利用meta分析的方法,基于全球524项灌丛化和灌木移除研究12,198 组数据,首次将灌木移除过程和草地灌丛化过程链接,揭示灌木移除措施对草地灌丛化过程的逆转效果及其作用机制。
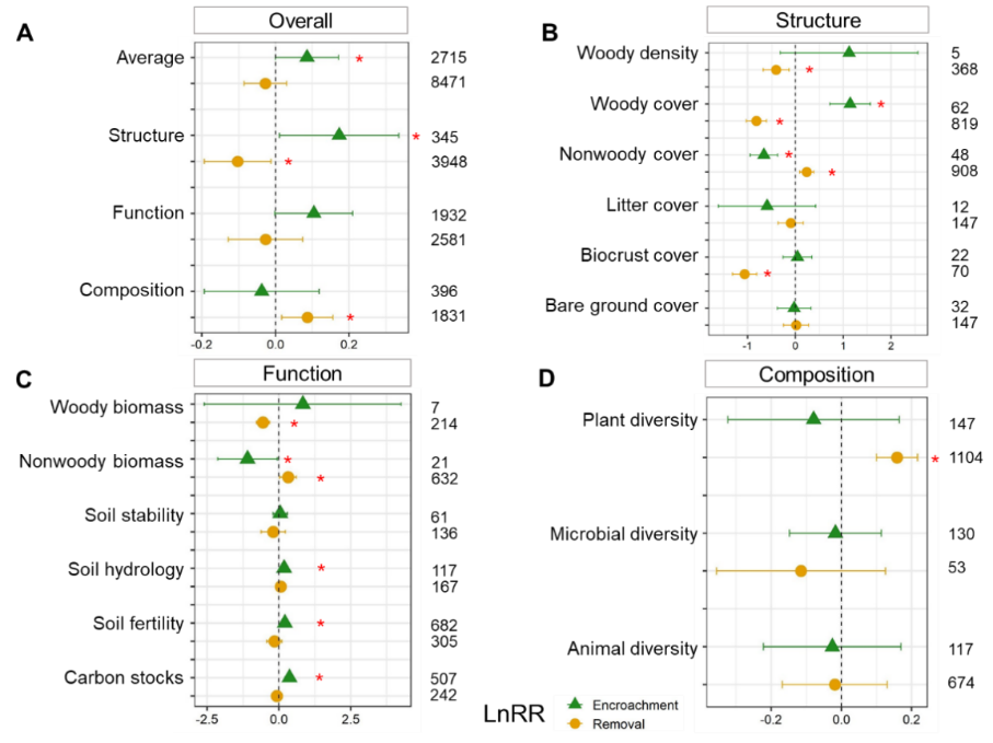
研究结果发现,灌木移除措施总体上无法逆转草地灌丛化所带来的影响(图1A)。对于牧民普遍关心的草本盖度,灌木移除仅能逆转<50%的草地灌丛化影响。例如灌丛化导致草本植物盖度下降了48%,但是灌木移除仅能提高21%的草本植物盖度(图1B)。与以往认为灌丛化是生态系统退化反映的普遍观点相反,该研究发现灌丛化能够提高生态系统8%的总体功能,具体体现在生态系统功能的增加上(图1C),如灌丛化能够增加31%的碳固定、18%的土壤肥力和17%的水文功能,灌丛化能够显著增加植物多样性(图1D),而灌木移除整体上对生态系统功能的影响并不显著,说明灌木移除并非是一种能够有效提高灌丛化生态系统功能的管理措施。
制约灌木移除逆转灌丛化过程的主要因素因响应变量而异(图2)。例如对于抑制灌丛盖度和增加草本植物盖度,灌木移除措施类型是主导因素,而对于试图恢复灌丛化生态系统的动物多样性保育,灌木的植物性状和灌丛化阶段是主要决定因素。此外,气候和土壤等环境因子会通过影响灌丛化物种的植物性状和灌丛化阶段而影响灌木移除的效果,表明未来气候变化可能通过影响灌丛化过程影响灌木移除的效果。

图1 灌丛化(绿色)和灌木移除(黄色)对(A)生态系统总体、(B)生态系统结构指标、(C)生态系统功能指标、(D)生态系统组成指标的影响

图2 驱动因子(气候、土壤、灌丛化性质和移除管理)对灌木移除效果(A草本植物盖度,B灌木盖度,C动物多样性)的影响,(D)基于每个驱动因子的标准总效应所计算的相对解释率占比
灌木移除对草地灌丛化的作用机制研究成果在Nature Plants期刊上发表(影响因子17.35;https://www.nature.com/articles/s41477-022-01307-7),证实了灌木移除并非逆转灌丛化的有效手段,对促进新疆灌丛化草地生态系统的管理提供了重要支撑作用,为新疆草地资源的可持续利用和保护提供了新思路。
附件下载: